

| day | C | -log(C/C0) | 1/C | (Ct+1 - Ct-1)/2 | ≒dCt/dt |
| 0 | 250 | 0 | 0.004 | ||
| 1 | 70 | 0.552842 | 0.014286 | ||
| 2 | 42 | 0.774691 | 0.02381 | =(B5-B3)/2 | -20 |
| 3 | 30 | 0.920819 | 0.033333 | ||
| 4 | 23 | 1.036212 | 0.043478 | ||
| 5 | 18 | 1.142668 | 0.055556 | =(B8-B6)/2 | -3.5 |
| 6 | 16 | 1.19382 | 0.0625 | ||
| 7 | 13 | 1.283997 | 0.076923 | ||
| 8 | 12 | 1.318759 | 0.083333 |

rc = dC/dt =C^n
n = [ log(20) - log(3.5) ] / [ log(42) - log(18) ] = 2.06 ≒ 2
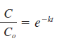
1/C - 1/C0 = 2k
k=0.0103 /d
처리공정의 반응속도 모델링
회분식 반응기


완전혼합 반응기

질렬식 완전혼합 반응기
( V : 전체 반응조 부피 )


| C | rc | 1단계 | 2단계 | 3단계 |
| 0 | 0 | |||
| 5 | 0.5 | |||
| 10 | 1 | |||
| 12.5 | 1.25 | 1.25 | ||
| 15 | 1.5 | 1 | ||
| 20 | 2 | 0.5 | ||
| 25 | 2.5 | 2.5 | 0 | |
| 30 | 3 | 2 | ||
| 35 | 3.5 | 1.5 | ||
| 40 | 4 | 1 | ||
| 45 | 4.5 | 0.5 | ||
| 50 | 5 | 5 | 0 | |
| 55 | 5.5 | 4.5 | ||
| 60 | 6 | 4 | ||
| 65 | 6.5 | 3.5 | ||
| 70 | 7 | 3 | ||
| 75 | 7.5 | 2.5 | ||
| 80 | 8 | 2 | ||
| 85 | 8.5 | 1.5 | ||
| 90 | 9 | 1 | ||
| 95 | 9.5 | 0.5 | ||
| 100 | 10 | 0 |
'환경공학' 카테고리의 다른 글
| 산소전달 (0) | 2024.01.15 |
|---|---|
| 가압부상조 (1) | 2024.01.15 |
| Mass-Balance Analysis (0) | 2024.01.13 |
| REACTORS USED IN WASTEWATER TREATMENT (0) | 2024.01.12 |
| BOD, COD, and TOC 상호관계 (0) | 2024.01.12 |



댓글