환경공학
부유성장 처리공정 모델링
자동매매
2024. 1. 22. 00:01

미생물 물질수지







기질 물질수지




※ 침전이 없고 반송이 없는 활성슬러지 시스템
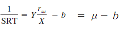
SRT = HRT 적용하여 X, S 계산 가능
혼합액 고형물 농도 / 고형물 생산량
매일 폐기되는 총고형물

혼합액 고형물 농도
1) nbVSS 고려

Xi : nbVSS





2) 무기물 고려

※ 미생물 세포의 10~15%가 무기물
