미생물 성장동력학
1. 용존기질에 대한 속도론
도시하수의 생분성 유기물의 20~40%
1) 기질소비속도



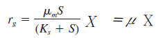
2) 미생물증식속도


3) 수율


4) 용존기질의 이용률에 대한 기타 속도식

2. 생분해 가능한 입자성 유기물부터 용존기질 생성률
도시하수의 생분성 유기물의 60~80% -> 용존성으로 가수분해

3. 용존기질에 따른 미생물 성장율


※ ASM2d 및 ASM3(Gujer et al., 1999) 모델
낮은 용존 산소 및 암모니아-질소 농도가 박테리아 성장 속도율과 기질 제거율의 제한인자인 경우

4. 산소소비속도

5. Typical kinetic coefficients for the activated sludge process for the removal of BOD from domestic wastewater
6. 온도 영향

θ : 1.02 ~ 1.25
7. 총휘발성고형물
= 활성미생물 + 내생호흡 잔존물 + 유입수내 nbVSS


Xo,i
도시하수 유입수내 : 60 ~ 100 mg/L,
1차 처리수내 : 10 ~ 40 mg/L
8. 활성미생물 분율

9. 순미생물 합성계수 / 측정된 합성계수
1) 순미생물 합성계수(Net Biomass Yield) : Ybio

2) 측정된 합성계수(Observed Yield) : Yobs

-------------------------------------------------------------------------------------------------------------
[ 유입수 ]
bsCOD : 300 g/m3
nbVSS : 50 g/m3
유입량 : 1000 m3/d
[ 호기조 ]
MLVSS : 2000 g/m3
유출수 bsCOD : 2.4 g/m3
reactor volume : 335 m3
사멸세포 잔류물 생성률(fd) : 0.1
Determine the net biomass yield, the observed solids yield, and the biomass
fraction in the MLVSS. Use the kinetic coefficients given in Table 7–8.

