1. super()로 기반 클래스 초기화하기
이때는 super()를 사용해서 기반 클래스의 __init__ 메서드를 호출해줍니다. 다음과 같이 super() 뒤에 .(점)을 붙여서 메서드를 호출하는 방식입니다.
- super().메서드()
class Person:
def __init__(self):
print('Person __init__')
self.hello = '안녕하세요.'
class Student(Person):
def __init__(self):
print('Student __init__')
super().__init__() # super()로 기반 클래스의 __init__ 메서드 호출
self.school = '파이썬 코딩 도장'
james = Student()
print(james.school)
print(james.hello)
Student __init__
Person __init__
파이썬 코딩 도장
안녕하세요.
기반 클래스를 초기화하지 않아도 되는 경우
만약 파생 클래스에서 __init__ 메서드를 생략한다면 기반 클래스의 __init__이 자동으로 호출되므로 super()는 사용하지 않아도 됩니다.
class Person:
def __init__(self):
print('Person __init__')
self.hello = '안녕하세요.'
class Student(Person):
pass
james = Student()
print(james.hello)
Person __init__
안녕하세요.
이처럼 파생 클래스에 __init__ 메서드가 없다면 기반 클래스의 __init__이 자동으로 호출되므로 기반 클래스의 속성을 사용할 수 있습니다.
좀 더 명확하게 super 사용하기
super는 다음과 같이 파생 클래스와 self를 넣어서 현재 클래스가 어떤 클래스인지 명확하게 표시하는 방법도 있습니다. 물론 super()와 기능은 같습니다.
super(파생클래스, self).메서드
class Student(Person):
def __init__(self):
print('Student __init__')
super(Student, self).__init__() # super(파생클래스, self)로 기반 클래스의 메서드 호출
self.school = '파이썬 코딩 도장'
2. 다중상속
다중 상속은 여러 기반 클래스로부터 상속을 받아서 파생 클래스를 만드는 방법입니다. 다음과 같이 클래스를 만들 때 ( )(괄호) 안에 클래스 이름을 ,(콤마)로 구분해서 넣습니다.
class 기반클래스이름1:
코드
class 기반클래스이름2:
코드
class 파생클래스이름(기반클래스이름1, 기반클래스이름2):
코드
class Person:
def greeting(self):
print('안녕하세요.')
class University:
def manage_credit(self):
print('학점 관리')
class Undergraduate(Person, University):
def study(self):
print('공부하기')
james = Undergraduate()
james.greeting() # 안녕하세요.: 기반 클래스 Person의 메서드 호출
james.manage_credit() # 학점 관리: 기반 클래스 University의 메서드 호출
james.study() # 공부하기: 파생 클래스 Undergraduate에 추가한 study 메서드
안녕하세요.
학점 관리
공부하기

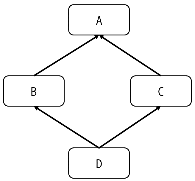
다이아몬드 상속
class A:
def greeting(self):
print('안녕하세요. A입니다.')
class B(A):
def greeting(self):
print('안녕하세요. B입니다.')
class C(A):
def greeting(self):
print('안녕하세요. C입니다.')
class D(B, C):
pass
x = D()
x.greeting() # 안녕하세요. B입니다.
안녕하세요. B입니다.

메서드 탐색 순서 확인하기
많은 프로그래밍 언어들이 다이아몬드 상속에 대한 해결책을 제시하고 있는데 파이썬에서는 메서드 탐색 순서(Method Resolution Order, MRO)를 따릅니다.
다음과 같이 클래스 D에 메서드 mro를 사용해보면 메서드 탐색 순서가 나옵니다(클래스.__mro__ 형식도 같은 내용).
- 클래스.mro()
>>> D.mro()
[<class '__main__.D'>, <class '__main__.B'>, <class '__main__.C'>, <class '__main__.A'>, <class 'object'>]
'Python' 카테고리의 다른 글
| object 클래스 (0) | 2026.01.29 |
|---|---|
| 메서드 오버라이딩 (0) | 2026.01.29 |
| self (0) | 2026.01.29 |
| 정적 메서드 / 클래스 메서드 (0) | 2026.01.28 |
| 특수 메서드 (0) | 2026.01.28 |
댓글