본문 바로가기
환경공학

부유성장 처리공정 모델링

by 자동매매 2024. 1. 22.

 

미생물 물질수지

 

 

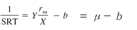
기질 물질수지

 

※ 침전이 없고 반송이 없는 활성슬러지 시스템

SRT = HRT  적용하여 X, S 계산 가능

 

혼합액 고형물 농도 / 고형물 생산량

매일 폐기되는 총고형물

 

 

혼합액 고형물 농도

 

1) nbVSS 고려

      Xi : nbVSS

 

 

 

2) 무기물 고려

※ 미생물 세포의 10~15%가 무기물

 

 

 

'환경공학' 카테고리의 다른 글

미생물 성장동력학  (0) 2024.01.17
하수성분 규정 용어  (0) 2024.01.17
하수특성  (0) 2024.01.17
세균성장과 에너지론  (0) 2024.01.16
Cell Composition  (1) 2024.01.15

댓글